文字サイズ

  • 小
  • 中
  • 大

古書を探す

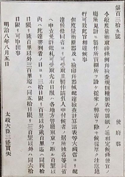
F19052104〇明治政府公文書 布告布達 度量衡取締条例 検査規則 太政大臣 三條実美 明治8年 〇和本古書古文書

ひぐま堂

¥2,000 (送料:¥300)

  • 状態 中古品
  • 解説 F19052104〇明治政府公文書 布告布達 度量衡取締条例 検査規則 太政大臣 三條実美 明治8年 〇和本古書古文書

    明治政府公文書 布告布達 度量衡取締条例 検査規則 太政大臣 三條実美 明治8年 〇和本古書古文書
    220x150mm
    1頁
    虫損 汚れが有ります

クレジットカード使用可 銀行振込可 代引き不可 公費不可 海外発送不可

単品スピード注文
かごに入れる
気になる本に追加
印刷

店舗情報

〒319-1415
茨城県日立市相田町3-25-28
TEL:090-9961-5846
FAX:0294-23-2558

茨城県公安委員会許可 第(日)893号
書籍商 ひぐま堂

書籍の購入について

支払方法等:

支払方法等:

クレジットまたは
銀行送金でお願いいたします。

商品引渡し方法:

ご入金確認後、速やかに発送いたします

返品について:


データ表示になかった瑕疵については送料当店負担でさせていただきます。

他特記事項:

-

書籍の買い取りについて

ご連絡戴ければ 迅速に対応致します。
宜しくお願い致します。

送料について

  • ゆうメール・メール便
北海道 300円
青森県 300円
岩手県 300円
宮城県 300円
秋田県 300円
山形県 300円
福島県 300円
茨城県 300円
栃木県 300円
群馬県 300円
埼玉県 300円
千葉県 300円
東京都 300円
神奈川県 300円
新潟県 300円
富山県 300円
石川県 300円
福井県 300円
山梨県 300円
長野県 300円
岐阜県 300円
静岡県 300円
愛知県 300円
三重県 300円
滋賀県 300円
京都府 300円
大阪府 300円
兵庫県 300円
奈良県 300円
和歌山県 300円
鳥取県 300円
島根県 300円
岡山県 300円
広島県 300円
山口県 300円
徳島県 300円
香川県 300円
愛媛県 300円
高知県 300円
福岡県 300円
佐賀県 300円
長崎県 300円
熊本県 300円
大分県 300円
宮崎県 300円
鹿児島県 300円
沖縄県 300円

新着書籍

おすすめの書籍