文字サイズ

  • 小
  • 中
  • 大

古書を探す

方言より透視せる國語用言格構成分析表示展開相の考察 ; 乞食方言考 <方言誌>

方言より透視せる国語用言格構成分析表示展開相の考察

フォルモサ書院

¥3,800 (送料:¥220)

  • 著者 徳田政信 [著] ; 吉村一男 [著]
  • 出版社 国学院大学方言研究会
  • 刊行年 昭和9年
  • ページ数 58p, 折り込図1枚, 図版3p
  • サイズ 23cm
  • 冊数 1冊
  • 状態 中古品(並下)
  • 解説 ●本体:経年並下(書き込み等見受けられず)
    ●表紙:経年ヤケ
    ●背少イタミ・ヤケ
    ●奥付附近:購入場所等記入
    ●三方:経年ヤケ

    ■送料➊クリックポストにて発送予定

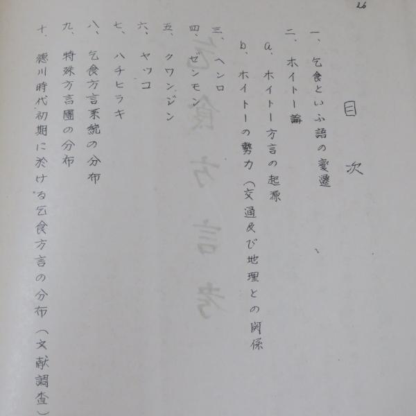
    一、乞食といふ語の豪遷
    二、ホイトー編
    ん、ホイトー方言の起源
    b、ホイトーの勢力(交通及び地理との関係
    三、ヘンロ
    四、ゼンモン
    五、クワンジン
    ヤッコ
    ハチヒラキ
    乞食方言系統の分布
    特殊方言團の分布
    十、徳川時代初期に於ける乞食方言の分布(文献調査
  • 発送ポリシー ■■【店舗休業日】■■■■■■■■■■■■■■■■■■■■■■
    3月14日~17日まで
    この期間の在庫確認や発送は18日となりますので、了承の上、ご注文願います。


    ◆インボイス対応なし

    【送料】
    ❶クリックポスト(+220円) 
    ❷レターパックライト(+430円)
    ❸レターパックプラス(+600円)
    ❹ゆうパック(適宜・補償有)

クレジットカード使用可 銀行振込可 代引き不可 公費可 海外発送可

マスターID:6021890
初版刊行年:1934.10

かごに入れる
気になる本に追加
印刷

店舗情報

店舗外観

〒530-0041
大阪府大阪市北区天神橋3-2-31 小西ビル2階
TEL:090-2595-5088
FAX:--

大阪府公安委員会許可 第621020180348号
書籍商 フォルモサ書院

書籍の購入について

支払方法等:

お支払いは【前払い】でお願いしております。
①振込先:三井住友銀行
②クレジットカード決済


●お振込み手数料・送料はお客様負担をお願いしております。
①はメールにて送料を含むお支払い金額と振込先をお知らせいたします。
確認後3営業日以内に発送いたします。
②クレジットの場合はメールにて
送料を含むお支払い金額をお知らせいたします。
決済確認後、3営業日以内発送いたします。

●なお料金の見積メールを差し上げた後、当日を含めた3日以内に振込、クレジット決済等、お支払いをお願いします。
なおキャンセルされる場合は、発送の準備を整え、お振込みをおまちしておりますので、ご面倒でもご連絡いただけますようお願いいたします。

◆◆ご連絡のないキャンセルはご遠慮ください◆◆

●【公費】公費対応させていただきます。原則10,000円以上のみ対応。
▶必要書類・宛名等、お支払い予定日をお知らせください。
 なお価格認定書は実費を頂戴いたします。

商品引渡し方法:

【日本郵便を利用】(日本郵便に準じ料金を変更)
①クリックポスト【220円】(追跡有/補償無/郵便受投函配達)●3㎝以内・1㌔以内
②レターパック プラス【600円】(追跡有/補償無/要受取印)●4㌔以内
③レターパック ライト【430円】(追跡有/補償無/郵便受投函配達)●3㎝以内・4㌔以内
④ゆうパック【適宜】(追跡有/補償有/要受取印)
で発送いたします。
上記の中からご確認の上、条件に合うご希望の発送方法がある際はお知らせください。
●また店頭で確認の上販売も可能。メール等でご連絡いただきましたら、約1週間ほど予約扱いで取り置きいたします。
●倉庫保管の商品に関しましては、店頭にはございません。店頭でご確認を希望の際は、前もってお知らせくだされば、ご用意させていただきます。
★なお重量・大きさによっては④のみの発送になります。ご了承ください。

返品について:

原則、お客様都合による返品は受付いたしておりません。商品の誤発送等、当店による過失の場合は対応させていただきます。その際は追跡記録「到着」後、3日以内にご連絡をお願いいたします。

他特記事項:

【ご注文の流れ】
①商品のご注文

②送料等のお見積もりメールをさしあげます
〈2営業日(翌々営業)日以内〉

③お客様からの正式発注のメールを頂戴します

入金確認後、商品を発送いたします。
(確認後3営業日以内)
★年末年始等長期休暇があります。ホームページ・フェイスブック・ツイッタ

書籍の買い取りについて

●紀行(特に戦前発行)・歴史・地誌他。
●台湾関連(中国語・日本語)の書籍、特に日本統治時代の文献・資料・地図等は積極的に買取を行っております。
●基本的に店頭買取のみですが、内容等によってはメール等でご相談させていただきます。

送料について

  • ゆうメール・メール便
北海道 220円
青森県 220円
岩手県 220円
宮城県 220円
秋田県 220円
山形県 220円
福島県 220円
茨城県 220円
栃木県 220円
群馬県 220円
埼玉県 220円
千葉県 220円
東京都 220円
神奈川県 220円
新潟県 220円
富山県 220円
石川県 220円
福井県 220円
山梨県 220円
長野県 220円
岐阜県 220円
静岡県 220円
愛知県 220円
三重県 220円
滋賀県 220円
京都府 220円
大阪府 220円
兵庫県 220円
奈良県 220円
和歌山県 220円
鳥取県 220円
島根県 220円
岡山県 220円
広島県 220円
山口県 220円
徳島県 220円
香川県 220円
愛媛県 220円
高知県 220円
福岡県 220円
佐賀県 220円
長崎県 220円
熊本県 220円
大分県 220円
宮崎県 220円
鹿児島県 220円
沖縄県 220円

新着書籍

おすすめの書籍