文字サイズ

  • 小
  • 中
  • 大

古書を探す

大正十三年愛媛県北宇和郡事件記録

今井書店

¥30,000 (送料:¥0~)

  • 刊行年 大13
  • ページ数 52丁
  • 冊数 1冊
  • 状態 中古品(良好)
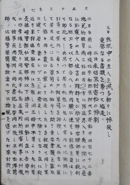
  • 解説 墨付五十二枚 程度並 大正十三年七月三日北宇和郡来村の強盗殺人事件、同年十月二十三日和霊町刑事殺害事件、同月十七日明治村火事が収録されている。
  • 発送ポリシー 全品送料込・税込   (代金引換便・海外便は送料無料対象外)  配送方法は原則追跡番号のあるお任せになります。   We provide worldwide service.  火曜日定休   記載のない付図・附録・正誤表等の付属品が必要な方は個別にお問い合わせ下さい。
    0頁は頁数の記載なしです。
    領収書(pdfのみ)が必要な場合は事前にその旨をお申し出ください。
    インボイス対応。

クレジットカード使用可 銀行振込可 代引き可 公費可 海外発送可 適格請求

単品スピード注文
かごに入れる
気になる本に追加
印刷

店舗情報

店舗外観

〒805-0041
福岡県北九州市八幡東区祝町 2-13-8 
TEL:093-651-8115
FAX:093-651-1212

福岡県公安委員会許可 第902042210009号
書籍商 今井書店

新着書籍

詩誌 爐 165号 ¥3,000 (送料:¥0~)
伝承文学研究 49号 ¥1,000 (送料:¥0~)
伝承文学研究 42号 ¥1,000 (送料:¥0~)
伝承文学研究 38号 ¥1,000 (送料:¥0~)
芸能文化史  8号 ¥1,000 (送料:¥0~)
芸能文化史 10号 ¥1,000 (送料:¥0~)
芸能文化史 14号 ¥1,000 (送料:¥0~)
芸能文化史 18号 ¥1,000 (送料:¥0~)

おすすめの書籍

書籍の購入について

支払方法等:

①注文受付メール
            ↓
②在庫確認完了次第「送料・金額確定メール」送信
            ↓
③お支払い方法に合わせて発送



※「送料・金額確定メール」に後払い・先払い等全て記載させて頂いております。
 中ほどまではお読みくださいますようお願い致します。

-------------------------------------------------------------

郵便振替、銀行振込、代金引換等。公費支払いは通例に従います。
初めてのお客様・高額商品、その他の事情等は前払いでお願いすることがございます。
価格は全て消費税込です。
クレジットカード払いの場合は「送料・金額確定メール」に記載のURLより決済の完了をお願い致します。

お急ぎの場合は、その旨をメール、お電話、FAXなどでお伝えください。
追加送料にて、宅急便での発送も出来ます。
追跡番号のある配送をご希望の場合もご連絡下さい。

●領収書(pdf)の発行は、お申し出下さい。
--------------------------------------------------------
先払いにて海外発送承ります。
(We do ship international by advance payment or credit card payment.)
火曜日定休。
(Tuesday fixed closing day)

--------------------------------------------------------
西日本シティ銀行 荒生田(アロウダ)支店)普通 3052610 (株)今井書店

郵便振替口座 01770-9-153174 株式会社 今井書店
(確認まで数日(土日除く)かかります。)


郵貯銀行 記号17410 番号 96144791 株式会社 今井書店


paypay銀行 ビジネス営業部 普通 5839483 今井書店

商品引渡し方法:

在庫確認までは原則1~3営業日です。


在庫確認ができましたら送料確定メールをお送り致します。
後払いのお客様は送料確定後、翌営業日に発送致します。
クレジット決済の場合は、決済が完了するまで発送出来ませんのでご注意下さい。
代金引換便をご希望の際はその旨をご連絡下さい。

追跡番号は「商品を発送いたしました(送信専用)(今井書店)」のメールに記載しております。
--------------------------------------------------------------

ヤマト運輸、クリックポスト、レターパック等の方法でお送りいたします。
海外便はEMS,SAL,ship,etcとなっております。

--------------------------------------------------------------
配送方法について

クリックポスト・ヤマト運輸・レターパックプラス等。
配送方法はお任せになります。

返品について:

附属品につきましては月報・月報付等、原則加算方式で記載しております。
月報欠等は基本的に表記がございません。

事前記載のない瑕疵があった場合は、申し訳ございませんがお申し出下さい。
対応させて頂きますので、商品到着後1週間以内にご連絡をお願いします。
書籍が受け取られないまま返送されることもございます。
書籍が未着の場合はお申し出くださいませ。

他特記事項:

古書目録発行(年1回)

Overseas dispatch OK

インボイス 適格請求書発行事業者登録
T7290801027958

書籍の買い取りについて

大まかな冊数とジャンルを明記の上、お問い合わせ下さい。
古文書・貴重書・古典籍・和本などは特に歓迎致します。


郵送・宅配にての買取も行っております。
お問い合わせないまま送ってこられた場合は着払いにて返送致します。
遠方の方で冊数が少ない場合は送料割れする場合がございますので、その際は申し訳ございませんがお断りさせて頂きます。


九州圏内・山口県近辺は出張いたしますので、一度ご相談下さい。