文字サイズ

  • 小
  • 中
  • 大

古書を探す

教行信証の味はひ方 : 初学者のために <顕浄土真実教行証文類>

アブストラクト古書店

¥3,200 (送料:¥180 ~ ¥2,500)

  • 著者 磨墨岱山 編著;磨墨功洞 校訂
  • 出版社 法住教団本部
  • 刊行年 1979年初版
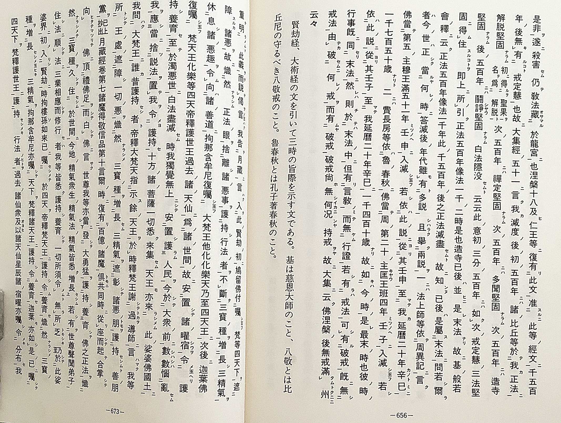
  • ページ数 686, 35p (落丁:p. 657〜p. 672) (本体厚さ:5.5cm弱)
  • サイズ 22cm
  • 状態 中古品(並)
  • 解説 1979年初版。函入り。定価:7,000円。布装。
    函に若干ヤケ・部分的に薄いくすみ汚れ・一部にシミやシワ・背の中央に凹み等、経年による傷みがあります。
    また本体小口の一部に薄いシミ、巻末のp. 657〜p. 672に落丁がありますが、それ以外は特に問題はありません。

    ●落丁 (p. 657〜p. 672) がありますので、ご了承の上、ご検討をお願いいたします。該当箇所、および該当箇所が記載された目次の掲載もございます。

    ●古道師殉教百五十年記念出版

    ●主な目次
    ・1: 総括的序説
    ・2: 総序
    ・3: 真実教
    ・4: 真実行
    ・5: 真実信
    ・6: 真実証
    ・7: 真仏土
    ・8: 方便化身土
    ・9: 流通分

    ●発行者:法住教団
     熊本県を本拠地とする在家中心の浄土真宗教団。
    近代浄土真宗において教学の厳密さと信心の実践を結びつけることを重視して成立し、親鸞の主著『教行信証』を原典重視で読み直すことを目的として活動してきました。
     近代以降の宗派教学に安住せず、「信とは何か」「行とは何か」を初学者にも徹底して問い直す姿勢を特徴とし、その解釈はしばしば既成教団の枠組みから距離を取るものでした。
    とくに、親鸞の思想を体系的・論理的に再構成しようとする立場は、近世に異端視された能化派の思想的系譜と重なり合う部分を持ち、法然・親鸞の教えを「教化 (能化)」の論理から捉え直す試みとして評価される一方、宗学的には緊張関係も孕んでいました。

    ■送料:全国一律600円
  • 発送ポリシー ●商品の価格や重量に応じ、日本郵便のゆうメール, ゆうパケット, レターパック, ゆうパックのいずれかで発送いたします。
    ●送料のご負担をお願いいたします。
    ●弊店は適格請求書発行事業者です。インボイス制度対応の書類を発行いたします。
    ●原則、先払いをお願いしておりますが、公費購入(後払い)も承っております。
    ●海外発送にも対応しております。

クレジットカード使用可 銀行振込可 代引き可 公費可 海外発送可 適格請求

マスターID:1320041
初版刊行年:1979.10

かごに入れる
気になる本に追加
印刷

店舗情報

〒614-8361
京都府八幡市男山指月14-4 
TEL:075-950-9933
FAX:075-950-9933

京都府公安委員会許可 第612260430002号
書籍商 アブストラクト古書店

書籍の購入について

支払方法等:

・銀行振込(ゆうちょ銀行、三井住友銀行)
・クレジットカード決済
・代引き

弊店は適格請求書発行事業者です。
インボイス制度対応の書類を発行致します。

原則、先払いをお願いしておりますが、
公費購入(後払い)も承っております。

商品引渡し方法:

商品の価格や重量に応じ、
日本郵便のゆうメール, ゆうパケット, レターパック, ゆうパック
のいずれかで発送いたします。
送料のご負担をお願いいたします。

返品について:

「日本の古本屋」返品規定に準じます。

他特記事項:

-

書籍の買い取りについて

京都府や滋賀県を始め、奈良県・大阪府など関西全域に対応しております。
本の内容や量によりましては、上記以外の県にもお伺いいたします。
また、少量の売却や遠方の場合でも、宅配買取を行っておりますので、
まずはお気軽にご相談下さい。
当店ホームページからも受け付けております。

送料について

  • ゆうパック・宅配便
  • ゆうメール・メール便
北海道 2,500円
青森県 2,500円
岩手県 2,500円
宮城県 2,500円
秋田県 2,500円
山形県 2,500円
福島県 2,500円
茨城県 2,500円
栃木県 2,500円
群馬県 2,500円
埼玉県 2,500円
千葉県 2,500円
東京都 2,500円
神奈川県 2,500円
新潟県 2,500円
富山県 2,500円
石川県 2,500円
福井県 2,500円
山梨県 2,500円
長野県 2,500円
岐阜県 2,500円
静岡県 2,500円
愛知県 2,500円
三重県 2,500円
滋賀県 2,500円
京都府 2,500円
大阪府 2,500円
兵庫県 2,500円
奈良県 2,500円
和歌山県 2,500円
鳥取県 2,500円
島根県 2,500円
岡山県 2,500円
広島県 2,500円
山口県 2,500円
徳島県 2,500円
香川県 2,500円
愛媛県 2,500円
高知県 2,500円
福岡県 2,500円
佐賀県 2,500円
長崎県 2,500円
熊本県 2,500円
大分県 2,500円
宮崎県 2,500円
鹿児島県 2,500円
沖縄県 2,500円
北海道 180円
青森県 180円
岩手県 180円
宮城県 180円
秋田県 180円
山形県 180円
福島県 180円
茨城県 180円
栃木県 180円
群馬県 180円
埼玉県 180円
千葉県 180円
東京都 180円
神奈川県 180円
新潟県 180円
富山県 180円
石川県 180円
福井県 180円
山梨県 180円
長野県 180円
岐阜県 180円
静岡県 180円
愛知県 180円
三重県 180円
滋賀県 180円
京都府 180円
大阪府 180円
兵庫県 180円
奈良県 180円
和歌山県 180円
鳥取県 180円
島根県 180円
岡山県 180円
広島県 180円
山口県 180円
徳島県 180円
香川県 180円
愛媛県 180円
高知県 180円
福岡県 180円
佐賀県 180円
長崎県 180円
熊本県 180円
大分県 180円
宮崎県 180円
鹿児島県 180円
沖縄県 180円

新着書籍

おすすめの書籍