文字サイズ

  • 小
  • 中
  • 大

古書を探す

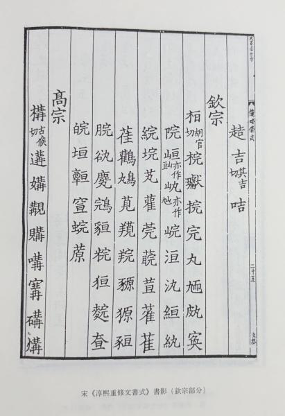
史諱辞典 <愛知大學文學會叢書2>

アブストラクト古書店

¥5,800 (送料:¥600 ~ ¥2,500)

  • 著者 王建著
  • 出版社 汲古書院
  • 刊行年 1997年初版
  • ページ数 277p
  • サイズ 26.5x19x2.6cm
  • ISBN 476291049X
  • 状態 中古品(並)
  • 解説 函欠。
    本体は特に問題は有りません。

    ●概要
    中国の歴史における避諱(皇帝や上官、先祖などの諱(本名)を忌みはばかって別の字に置き換えたり、画数を減らしたりする習慣)を専門に扱った辞典。
    古代から清代に至るまで、歴代皇帝の名を避けるためにどのような代替文字が使われたか、あるいはどのような変形が行われたかを解説。

    ■送料:全国一律350円
  • 発送ポリシー ●商品の価格や重量に応じ、日本郵便のゆうメール, ゆうパケット, レターパック, ゆうパックのいずれかで発送いたします。
    ●送料のご負担をお願いいたします。
    ●弊店は適格請求書発行事業者です。インボイス制度対応の書類を発行いたします。
    ●原則、先払いをお願いしておりますが、公費購入(後払い)も承っております。
    ●海外発送にも対応しております。

クレジットカード使用可 銀行振込可 代引き可 公費可 海外発送可 適格請求

マスターID:8125384
初版刊行年:1997.2
ISBN:476291049X

かごに入れる
気になる本に追加
印刷

店舗情報

〒614-8361
京都府八幡市男山指月14-4 
TEL:075-950-9933
FAX:075-950-9933

京都府公安委員会許可 第612260430002号
書籍商 アブストラクト古書店

書籍の購入について

支払方法等:

・銀行振込(ゆうちょ銀行、三井住友銀行)
・クレジットカード決済
・代引き

弊店は適格請求書発行事業者です。
インボイス制度対応の書類を発行致します。

原則、先払いをお願いしておりますが、
公費購入(後払い)も承っております。

商品引渡し方法:

商品の価格や重量に応じ、
日本郵便のゆうメール, ゆうパケット, レターパック, ゆうパック
のいずれかで発送いたします。
送料のご負担をお願いいたします。

返品について:

「日本の古本屋」返品規定に準じます。

他特記事項:

-

書籍の買い取りについて

京都府や滋賀県を始め、奈良県・大阪府など関西全域に対応しております。
本の内容や量によりましては、上記以外の県にもお伺いいたします。
また、少量の売却や遠方の場合でも、宅配買取を行っておりますので、
まずはお気軽にご相談下さい。
当店ホームページからも受け付けております。

送料について

  • ゆうパック・宅配便
  • ゆうメール・メール便
北海道 2,500円
青森県 2,500円
岩手県 2,500円
宮城県 2,500円
秋田県 2,500円
山形県 2,500円
福島県 2,500円
茨城県 2,500円
栃木県 2,500円
群馬県 2,500円
埼玉県 2,500円
千葉県 2,500円
東京都 2,500円
神奈川県 2,500円
新潟県 2,500円
富山県 2,500円
石川県 2,500円
福井県 2,500円
山梨県 2,500円
長野県 2,500円
岐阜県 2,500円
静岡県 2,500円
愛知県 2,500円
三重県 2,500円
滋賀県 2,500円
京都府 2,500円
大阪府 2,500円
兵庫県 2,500円
奈良県 2,500円
和歌山県 2,500円
鳥取県 2,500円
島根県 2,500円
岡山県 2,500円
広島県 2,500円
山口県 2,500円
徳島県 2,500円
香川県 2,500円
愛媛県 2,500円
高知県 2,500円
福岡県 2,500円
佐賀県 2,500円
長崎県 2,500円
熊本県 2,500円
大分県 2,500円
宮崎県 2,500円
鹿児島県 2,500円
沖縄県 2,500円
北海道 600円
青森県 600円
岩手県 600円
宮城県 600円
秋田県 600円
山形県 600円
福島県 600円
茨城県 600円
栃木県 600円
群馬県 600円
埼玉県 600円
千葉県 600円
東京都 600円
神奈川県 600円
新潟県 600円
富山県 600円
石川県 600円
福井県 600円
山梨県 600円
長野県 600円
岐阜県 600円
静岡県 600円
愛知県 600円
三重県 600円
滋賀県 600円
京都府 600円
大阪府 600円
兵庫県 600円
奈良県 600円
和歌山県 600円
鳥取県 600円
島根県 600円
岡山県 600円
広島県 600円
山口県 600円
徳島県 600円
香川県 600円
愛媛県 600円
高知県 600円
福岡県 600円
佐賀県 600円
長崎県 600円
熊本県 600円
大分県 600円
宮崎県 600円
鹿児島県 600円
沖縄県 600円

新着書籍

おすすめの書籍